为了解决聚芳醚类阴离子交换膜主链耐碱性差的问题,贺高红教授团队另辟蹊径首次提出并制备了一种主链不含吸电子基团且具有醚氧基对位季铵基团结构的高耐碱性阴离子交换膜,消除了导致芳醚裂解的吸电子联接基团和醚氧基邻位阳离子基团等关键触发因素。此策略不需贵金属催化剂,后续季铵化过程简单。具体制备过程(图1):首先通过Leuckart反应,将聚芳醚酮主链中的吸电子羰基转化为供电子基团胺基,而后通过Menshutkin反应将胺基一步季铵化。DFT计算表明(图2),本策略设计的不含吸电子联接基骨架及醚氧基对位季铵基团结构,可有效地增强芳醚碳和苄基碳的电子云密度和空间位阻,抑制OH-对其的进攻,提高芳醚裂解和季铵基团降解的反应活化能。耐碱性测试结果进一步证实了所制备的QA-PEAM阴离子交换膜优异的碱稳定性(图3),即使在苛刻的热碱条件下(4 M KOH,80°C,400 h),聚合物主链仍未发生降解。此外,独立梯度模型(IGM) 方法计算表明(图4),通过调节QA-PEAM的季铵化程度,聚合物主链中剩余的C-NH2基团之间存在较强氢键作用,形成的氢键网络可有效提高膜的机械性能。

图1. 新型QA-PEAM和常规QA-PAEK聚合物电解质的合成路线

图2. (a) QA-EAM和QA-AEK模型的静电势(ESP),(b) QA-EAM和QA-AEK模型的Mulliken电荷,(c)QA-EAM和QA-AEK模型化SNAr反应活化能,(d)QA-EAM和QA-AEK模型SN2反应的自由能

图3. (a) AEM在碱处理前后(4 M KOH,80°C,400 h)的拉伸强度(TS)和醚键含量 ,(b)室温条件,AEM在不同IEC下的的拉伸强度(TS)和断裂伸长率(EB)。

图4. QAPEAM和QAPAEK模型化合物的δginter与sign(λ2)ρ关系图

图5. Macromolecules 2020, 53期刊的内封面
相关研究工作以“High-Performance Anion Exchange Membranes with Para-TypeCations on Electron-Withdrawing C=O Links Free Backbone”为题作为内封面文章发表 (Macromolecules 2020, 53, 10988−10997)。论文第一作者为大连理工大学化工学院博士研究生张帆,论文通讯作者为大连理工大学化工学院吴雪梅教授和贺高红教授。
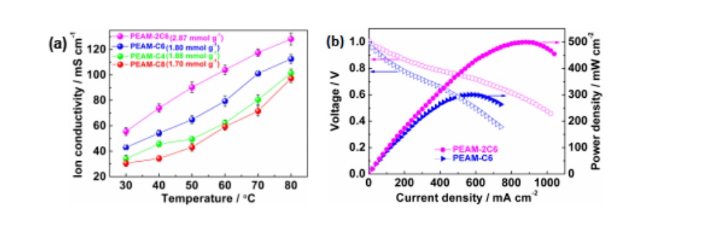
为了进一步发挥不含吸电子联接基主链结构在膜耐碱性上的优势,贺高红教授团队将不同长度烷基离子液体作为间隔基引入
PEAM聚合物主链,成功构筑了一系列不含吸电子联接基主链的侧链长度可调的侧链型
AEMs,烷基间隔侧链可有效增强阳离子移动性、促进膜内微相分离,进一步提高阴离子交换膜的离子电导率。研究表明(图
8),带有己基间隔的
PEAM-C6膜表现出较高的氢氧化电导率(
80°C,
112.5 mS cm-1);在此基础上,制备具有己基间隔的分枝型侧链阴离子交换膜
PEAM-2C6,进一步促进微相分离,形成更加连通的离子传输通道,达到更高的离子电导率(
80°C,
128.2 mS cm-1)和燃料电池功率密度(
80°C, 499 mW cm-2)。

图6. 侧链型AEM的合成路线

图7. 侧链型AEM的TEM和SAXS图。(a)PEAM-C4,(b)PEAM-C6,(c)PEAM-C8和(d)PEAM-2C6。

图8. 侧链型AEM的(a)离子电导率和(b)燃料电池性能
相关研究工作以“Highly stable electron-withdrawing C=O link-free backbone with branched cationic side chain as anion exchange membrane”为题已被Journal of Membrane Science期刊接收。论文第一作者为大连理工大学化工学院博士研究生张帆,论文通讯作者为大连理工大学化工学院吴雪梅教授和贺高红教授。